Evaluate the following integrals:

Question:

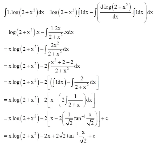
Evaluate the following integrals:

$\int \log \left(2+x^{2}\right) d x$

Solution:

Leave a comment