Evaluate the following integrals:

Question:

Evaluate the following integrals:

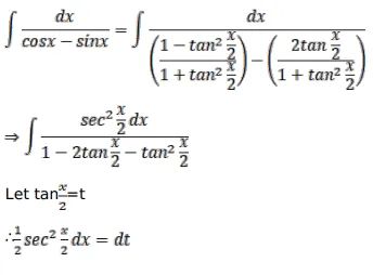
$\int \frac{d x}{(\cos x-\sin x)}$

Solution:

Leave a comment