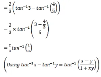
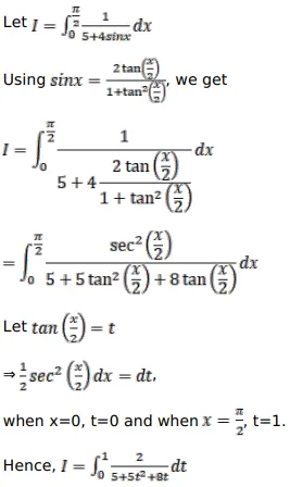
Evaluate the following integrals

Question:

Evaluate the following integrals

$\int_{0}^{\pi / 2} \frac{d x}{(5+4 \sin x)}$

Solution:

 

Leave a comment