Evaluate the following integrals:

Question:

Evaluate the following integrals:

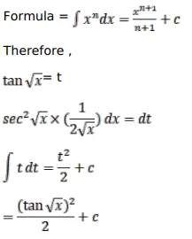
$\int \frac{\tan \sqrt{x} \sec ^{2} \sqrt{x}}{\sqrt{x}} d x$

Solution:

Leave a comment