Evaluate the following integrals:

Question:

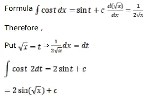
Evaluate the following integrals:

$\int \frac{\cos \sqrt{x}}{\sqrt{x}} d x$

Solution:

Leave a comment