Evaluate the following integrals:

Question:

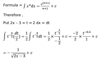
Evaluate the following integrals:

$\int \frac{1}{(2 x-3)^{3 / 2}} d x$

Solution:

Leave a comment