Evaluate the following integrals:

Question:

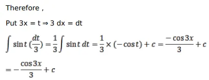
Evaluate the following integrals:

$\int \sin 3 x d x$

Solution:

Formula $=\int \sin x d x=-\cos x+c$

Leave a comment