Evaluate the following integrals:

Question:

Evaluate the following integrals:

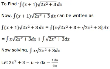
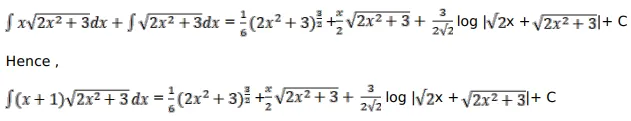
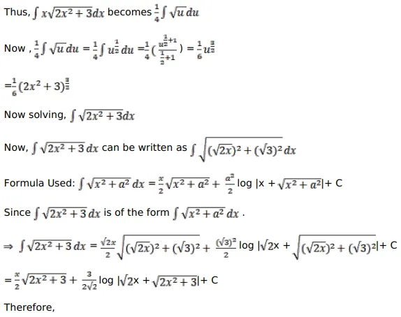
$\int(x+1) \sqrt{2 x^{2}+3} d x$

Solution:

Leave a comment