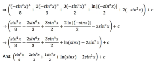
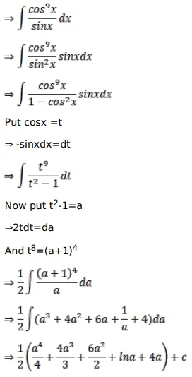
Evaluate the following integrals:

Question:

Evaluate the following integrals:

$\int \frac{\cos ^{9} x}{\sin x} d x$

Solution:

Leave a comment