Evaluate the following integrals:

Question:

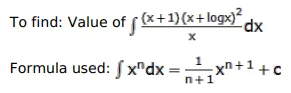
Evaluate the following integrals:

$\int \frac{(x+1)(x+\log x)^{2}}{x} d x$

Solution:

Leave a comment