JEE
NEET
Class (8, 9, 10)
More
Contact Us
Hiring
About
Courses:
JEE
NEET
Class (8, 9, 10)
Evaluate the following integrals:
Download now India's Best Exam Prepration App
Class 8-9-10, JEE & NEET
Video Lectures
Live Sessions
Study Material
Tests
Previous Year Paper
Revision
Download eSaral App
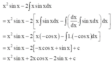
Question:
Evaluate the following integrals:
$\int x^{2} \cos x d x$
Solution:
Leave a comment
Message*
Name*
Email
Post Comment
eSaral Gurukul
JEE Coaching in Kota
NEET Coaching in Kota
NEET
NEET Question Paper
NEET 2024 Question Paper
NEET 2024 Exam Date
JEE Main
JEE Main 2025
JEE Main Question Paper
JEE Main 2025 Question Paper
JEE Main 2024 Question Paper
JEE Main 2023 Question Paper
JEE Main 2022 Question Paper
JEE Main 2021 Question Paper
JEE Advanced
JEE Advanced Question Paper
JEE Advanced 2023 Question Paper
Our Telegram Channel
eSaral JEE
eSaral NEET
eSaral Class 9-10
All Study Material