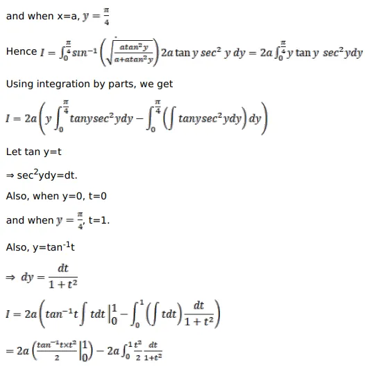
Evaluate the following integrals

Question:

Evaluate the following integrals

$\int_{0}^{a} \sin ^{-1} \sqrt{\frac{x}{a+x}} d x$

Solution:

Leave a comment