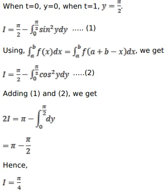
Evaluate the following integrals

Question:

Evaluate the following integrals

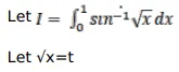
$\int_{0}^{1} \sin ^{-1} \sqrt{x} d x$

Solution:

Leave a comment