Evaluate the following integrals:

Question:

Evaluate the following integrals:

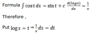
$\int \frac{\cos (\log x)}{x} d x$

Solution:

Leave a comment