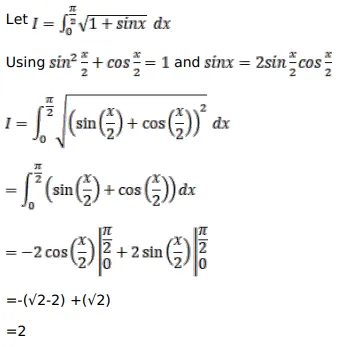
Evaluate the following integrals

Question:

Evaluate the following integrals

$\int_{0}^{\pi / 2} \sqrt{1+\sin x} d x$

Solution:

Leave a comment