Evaluate the following integrals:

Question:

Evaluate the following integrals:

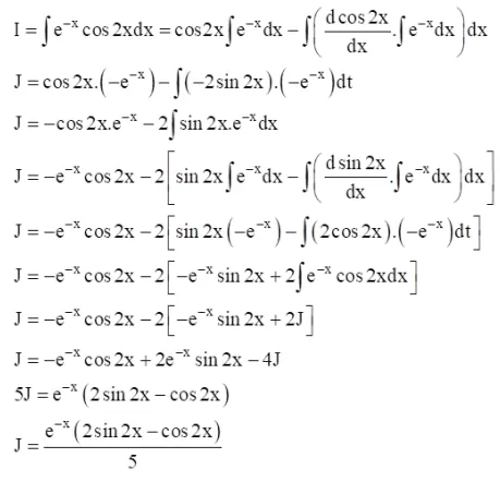
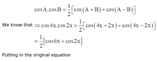
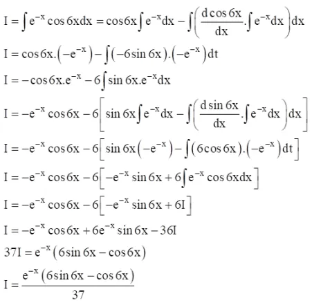
$\int e^{-x} \cos 2 x \cos 4 x d x$

Solution:

Solving the second part,

Leave a comment