JEE
JEE 2028 BrahMos Course
Best Online Course for 10th to 11th Moving Students
JEE 2027 Warrior Course
Best Online Course for Dropper Students
JEE 2027 Prahaar Course
Online Course For Class 11th to 12th Moving Students
JEE 2028 Gurukul Brahmos Course
Best Offline Course for 10th to 11th Moving Students
JEE 2027 Gurukul Warrior Course
Best Offline Course for Dropper Students
JEE 2027 Gurukul Prahaar Course
Offline Course for Class 11th to 12th Moving Students
JEE 2026 Bounce Back Fastrack Course
Best Crash Course for JEE 2nd Attempt + JEE Advanced
JEE 2026 Mission IIT Course
Dedicated Course for JEE Advanced 2026
JEE AI Brahmastra Test Series
Most Relevant Test Series for JEE Main + Advanced 2026
NEET
NEET 2026 Endgame 2.O Crash Course
Best Crash Course for NEET 2026
NEET 2028 BrahMos Course
Online Course For 10th to 11th Moving Students
NEET 2027 Prahaar Course
Online Course For 11th to 12th Moving Students
NEET 2027 Early Warrior Course
For Dropper/Repeater Students
NEET 2028 Gurukul Brahmos Course
Offline Course for 10th to 11th Moving Students
NEET 2027 Gurukul Early Warrior Course
For Dropper/Repeater Students
NEET 2027 Gurukul Early Prahaar Course
Offline Course for 11th to 12th Moving Students
NEET 2026 Test Series
India’s Most Result-Oriented Neet Test Series
Class 10
JEE 2028 BrahMos Course
Best Online Course for 10th to 11th Moving Students
JEE 2028 Gurukul Brahmos Course
Best Offline JEE Course for Class 10th to 11th Moving Students
NEET 2028 BrahMos Course
Online Course For 10th to 11th Moving Students
NEET 2028 Gurukul Brahmos Course
Best Offline NEET Course for Class 10th to 11th Moving Students
Class 10 Champ Course 2027
Online Course For 9th to 10th Moving Students
eSaral Gurukul Class 10 Champ 2027 Course
Offline Course for 9th to 10th Moving Students
JEE/NEET 2029 Agni Special Integrated Course
For Class 10
th
+ JEE/NEET 2029 Students
Class 9
Class 9 Captain 2027 Course
Best Online Course for 8th to 9th Moving Students
Class 9 Gurukul Captain 2027 Course
Best Offline Course for 8th to 9th Moving Students
JEE/NEET 2030 Early Shakti 4 Year Integrated Course
For Class 9th + 10th + JEE/NEET 2030 Student
JEE/NEET 2030 Gurukul Early Shakti 4 Year Integrated Course
For Class 9th + 10th + JEE/NEET 2030 Student
Bravo 2028 2 Year Integrated Course
For Class 9th + 10th Student
eSaral Gurukul 2 Year Bravo 2028 Course
Best Offline Integrated Course for Class 9th + 10th Students
Class 8
Class 8 Shaurya Course
Online Course for 7th to 8th Moving Students
eSaral Gurukul Class 8 Shaurya 2027 Course
Best Offline Course for Class 7th to 8th Moving Students
JEE/NEET 2031 Early Vajra Integrated 5 Year Course
Online Course For Class 8th + JEE/NEET 2031 Students
JEE/NEET 2031 Early Vajra Integrated 5 Year Course
Offline course For Class 8th + JEE/NEET 2031 Students
Commando 2029 3 Year Integrated Course
For Class 8th + 9th + 10th Student
More
Contact Us
Hiring
About
Courses:
JEE
JEE Courses
JEE 2028 BrahMos Course
Best Online Course for 10th to 11th Moving Students
JEE 2027 Warrior Course
Best Online Course for Dropper Students
JEE 2027 Prahaar Course
Online Course For Class 11th to 12th Moving Students
JEE 2028 Gurukul Brahmos Course
Best Offline Course for 10th to 11th Moving Students
JEE 2027 Gurukul Warrior Course
Best Offline Course for Dropper Students
JEE 2027 Gurukul Prahaar Course
Offline Course for Class 11th to 12th Moving Students
JEE 2026 Bounce Back Fastrack Course
Best Crash Course for JEE 2nd Attempt + JEE Advanced
JEE 2026 Mission IIT Course
Dedicated Course for JEE Advanced 2026
JEE AI Brahmastra Test Series
Most Relevant Test Series for JEE Main + Advanced 2026
NEET
NEET Courses
NEET 2026 Endgame 2.O Crash Course
Best Crash Course for NEET 2026
NEET 2028 BrahMos Course
Online Course For 10th to 11th Moving Students
NEET 2027 Prahaar Course
Online Course For 11th to 12th Moving Students
NEET 2027 Early Warrior Course
For Dropper/Repeater Students
NEET 2028 Gurukul Brahmos Course
Offline Course for 10th to 11th Moving Students
NEET 2027 Gurukul Early Warrior Course
For Dropper/Repeater Students
NEET 2027 Gurukul Early Prahaar Course
Offline Course for 11th to 12th Moving Students
NEET 2026 Test Series
India’s Most Result-Oriented Neet Test Series
Class 10
Class 10 Courses
JEE 2028 BrahMos Course
Best Online Course for 10th to 11th Moving Students
JEE 2028 Gurukul Brahmos Course
Best Offline JEE Course for Class 10th to 11th Moving Students
NEET 2028 BrahMos Course
Online Course For 10th to 11th Moving Students
NEET 2028 Gurukul Brahmos Course
Best Offline NEET Course for Class 10th to 11th Moving Students
Class 10 Champ Course 2027
Online Course For 9th to 10th Moving Students
eSaral Gurukul Class 10 Champ 2027 Course
Offline Course for 9th to 10th Moving Students
JEE/NEET 2029 Agni Special Integrated Course
For Class 10
th
+ JEE/NEET 2029 Students
Class 9
Class 9 Courses
Class 9 Captain 2027 Course
Best Online Course for 8th to 9th Moving Students
Class 9 Gurukul Captain 2027 Course
Best Offline Course for 8th to 9th Moving Students
JEE/NEET 2030 Early Shakti 4 Year Integrated Course
For Class 9th + 10th + JEE/NEET 2030 Student
JEE/NEET 2030 Gurukul Early Shakti 4 Year Integrated Course
For Class 9th + 10th + JEE/NEET 2030 Student
Bravo 2028 2 Year Integrated Course
For Class 9th + 10th Student
eSaral Gurukul 2 Year Bravo 2028 Course
Best Offline Integrated Course for Class 9th + 10th Students
Class 8
Class 8 Courses
Class 8 Shaurya Course
Online Course for 7th to 8th Moving Students
eSaral Gurukul Class 8 Shaurya 2027 Course
Best Offline Course for Class 7th to 8th Moving Students
JEE/NEET 2031 Early Vajra Integrated 5 Year Course
Online Course For Class 8th + JEE/NEET 2031 Students
JEE/NEET 2031 Early Vajra Integrated 5 Year Course
Offline course For Class 8th + JEE/NEET 2031 Students
Commando 2029 3 Year Integrated Course
For Class 8th + 9th + 10th Student
Evaluate the following integrals:
Download now India's Best Exam Prepration App
Class 8-9-10, JEE & NEET
Video Lectures
Live Sessions
Study Material
Tests
Previous Year Paper
Revision
Download eSaral App
Question:
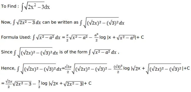
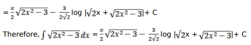
Evaluate the following integrals:
$\int \sqrt{2 x^{2}-3} d x$
Solution:
Leave a comment
Message*
Name*
Email
Post Comment
eSaral Gurukul
JEE Coaching in Kota
NEET Coaching in Kota
NEET
NEET Question Paper
NEET 2024 Question Paper
NEET 2024 Exam Date
JEE Main
JEE Main 2025
JEE Main Question Paper
JEE Main 2025 Question Paper
JEE Main 2024 Question Paper
JEE Main 2023 Question Paper
JEE Main 2022 Question Paper
JEE Main 2021 Question Paper
JEE Advanced
JEE Advanced Question Paper
JEE Advanced 2023 Question Paper
Our Telegram Channel
eSaral JEE
eSaral NEET
eSaral Class 9-10
All Study Material