Evaluate the following integrals:

Question:

Evaluate the following integrals:

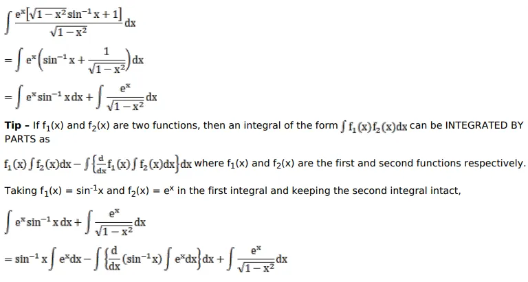
$\int \frac{e^{x}\left[\sqrt{1-x^{2}} \sin ^{-1} x+1\right]}{\sqrt{1-x^{2}}} d x$

Solution:

Leave a comment