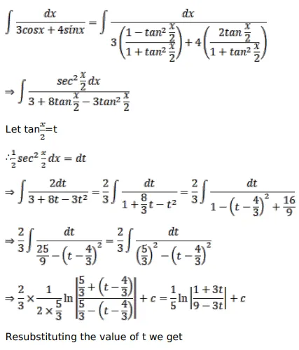
Evaluate the following integrals:

Question:

Evaluate the following integrals:

$\int \frac{d x}{(3 \cos x+4 \sin x)}$

Solution:

Leave a comment