Evaluate the following integrals:

Question:

Evaluate the following integrals:

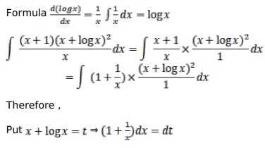
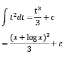
$\int \frac{(x+1)(x+\log x)^{2}}{x} d x$

Solution:

Leave a comment