Evaluate the following integrals:

Question:

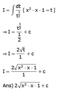
Evaluate the following integrals:

$\int \frac{(2 x-1)}{\sqrt{x^{2}-x-1}} d x$

Solution:

Leave a comment