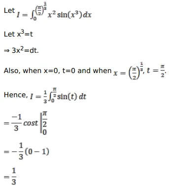
Evaluate the following integrals

Question:

Evaluate the following integrals

$\int_{0}^{(\pi / 2)^{1 / 3}} x^{2} \sin x^{3} d x$

Solution:

Leave a comment