Evaluate the following integrals:

Question:

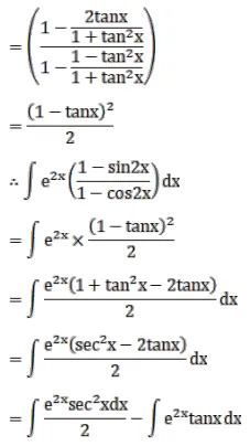
Evaluate the following integrals:

$\int e^{2 x}\left(\frac{1-\sin 2 x}{1-\cos 2 x}\right) d x$

Solution:

 

Leave a comment