Evaluate the following integrals:

Question:

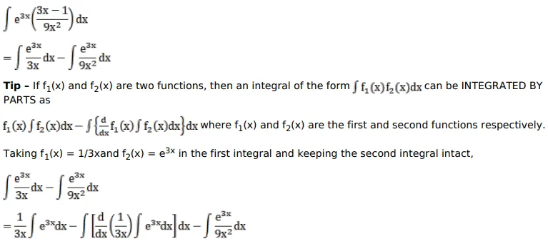
Evaluate the following integrals:

$\int e^{3 x}\left(\frac{3 x-1}{9 x^{2}}\right) d x$

Solution:

Leave a comment