Evaluate the following integrals:

Question:

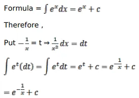
Evaluate the following integrals:

$\int \frac{1}{x^{2}} e^{-1 / x} d x$

Solution:

Leave a comment