Evaluate the following integrals:

Question:

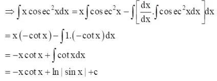
Evaluate the following integrals:

$\int x \operatorname{cosec}^{2} x d x$

Solution:

Leave a comment