Evaluate the following integrals:

Question:

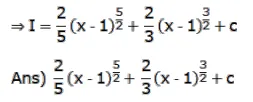
Evaluate the following integrals:

$\int \mathrm{x} \sqrt{-1} \mathrm{dx}$

Solution:

Leave a comment