Evaluate the following integrals:

Question:

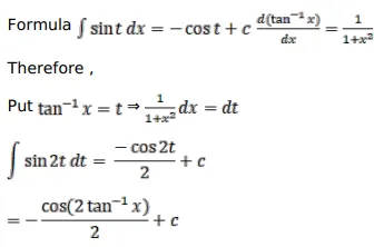
Evaluate the following integrals:

$\int \frac{\sin \left(2 \tan ^{-1} x\right)}{\left(1+x^{2}\right)} d x$

Solution:

Leave a comment