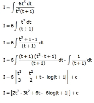
Evaluate the following integrals:

Question:

Evaluate the following integrals:

$\int \frac{\mathrm{dx}}{\left(\mathrm{x}^{1 / 2}+\mathrm{x}^{1 / 3}\right)}$

Solution:

Leave a comment