Evaluate the following integrals:

Question:

Evaluate the following integrals:

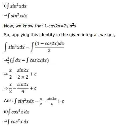
(i) $\int \sin ^{2} x d x$

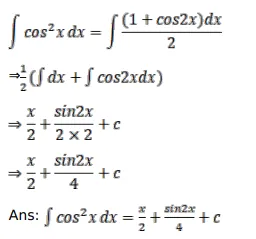
(ii) $\int \cos ^{2} \mathrm{xdx}$

Solution:

Leave a comment