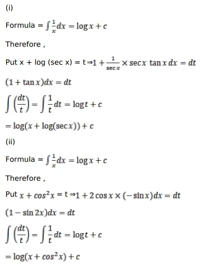
Evaluate the following integrals:

Question:

Evaluate the following integrals:

i. $\int \frac{(1+\tan x)}{(x+\log \sec x)} d x$

ii. $\int \frac{(1-\sin 2 x)}{\left(x+\cos ^{2} x\right)} d x$

Solution:

Leave a comment