Express the matrix

Question:

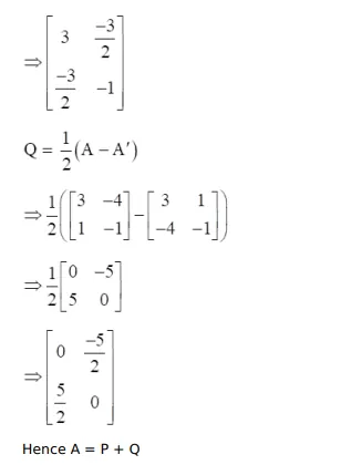
Express the matrix $A=\left[\begin{array}{rr}3 & -4 \\ 1 & -1\end{array}\right]$ as the sum of a symmetric matrix and a skew-symmetric matrix.

Solution:

Leave a comment