Figure shows equidistant slits being illuminated by a monochromatic parallel beam of light.
Question:
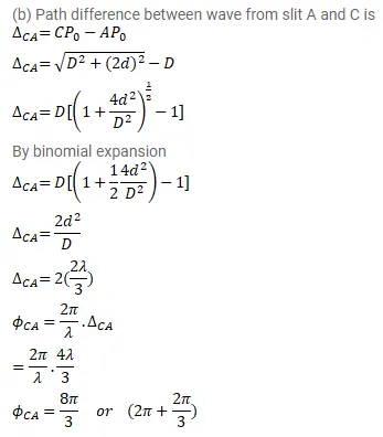
Figure shows equidistant slits being illuminated by a monochromatic parallel beam of light. Let
$B P_{0}-A P_{0}=\lambda / 3$ and $\mathrm{D}>\lambda$
(a) Show that in this case $=\sqrt{2 \lambda D / 3}$
(b) Show that the intensity at $P_{0}$ slits individually.

Solution:



