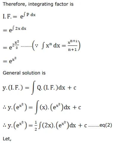
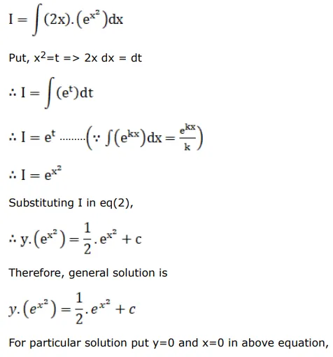
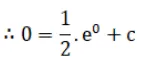
Find a particular solution satisfying the given condition for each of the following differential equations.
Question:
Find a particular solution satisfying the given condition for each of the following differential equations.
$\frac{\mathrm{dy}}{\mathrm{dx}}+2 \mathrm{xy}=\mathrm{x}$, given that $y=0$ when $x=0$
Solution:





