Find a point on the curve

Question:

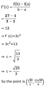
Find a point on the curve $y=x^{3}$, where the tangent to the curve is parallel to the chord joining the points ( 1 , 1) and $(3,27)$.

Solution:

Leave a comment