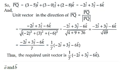
Find a unit vector in the direction of where P and Q

Question:

Find a unit vector in the direction of where P and Q have co-ordinates (5, 0, 8) and (3, 3, 2), respectively.

Solution:

Given coordinates are P(5, 0, 8) and Q(3, 3, 2).

Leave a comment