Find gof and fog, if

Question:

Find goand fog, if

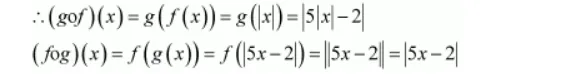
(i) $f(x)=|x|$ and $g(x)=|5 x-2|$

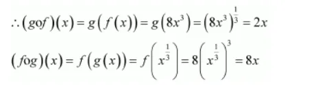
(ii) $f(x)=8 x^{3}$ and $g(x)=x^{\frac{1}{3}}$

Solution:

(i) $f(x)=|x|$ and $g(x)=|5 x-2|$

(ii) $f(x)=8 x^{3}$ and $g(x)=x^{\frac{1}{3}}$

Leave a comment