Find the acute angle between the following planes:
(i) $\overrightarrow{\mathrm{r}} \cdot(\hat{\mathrm{i}}+\hat{\mathrm{j}}-2 \hat{\mathrm{k}})=5$ and $\overrightarrow{\mathrm{r}} \cdot(2 \hat{\mathrm{i}}+2 \hat{\mathrm{j}}-\hat{\mathrm{k}})=9$
(ii) $\overrightarrow{\mathrm{r}} \cdot(\hat{\mathrm{i}}+2 \hat{\mathrm{j}}-\hat{\mathrm{k}})=6$ and $\overrightarrow{\mathrm{r}} \cdot(2 \hat{\mathrm{i}}-\hat{\mathrm{j}}-\hat{\mathrm{k}})+3=0$
(iii) $\overrightarrow{\mathrm{r}} \cdot(2 \hat{\mathrm{i}}-3 \hat{\mathrm{j}}+4 \hat{\mathrm{k}})=1$ and $\overrightarrow{\mathrm{r}} \cdot(-\hat{\mathrm{i}}+\hat{\mathrm{j}})=4$
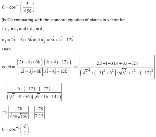
(iv) $\overrightarrow{\mathrm{r}} \cdot(2 \hat{\mathrm{i}}-3 \hat{\mathrm{j}}+6 \hat{\mathrm{k}})=8$ and $\overrightarrow{\mathrm{r}} \cdot(3 \hat{\mathrm{i}}+4 \hat{\mathrm{j}}-12 \hat{\mathrm{k}})+7=0$



