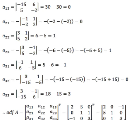
Find the adjoint of the given matrix and verify in each case that

Question:

Find the adjoint of the given matrix and verify in each case that $A .(\operatorname{adj} A)=(\operatorname{adj} A)=m|A| . I$.

$\left[\begin{array}{ccc}3 & -1 & 1 \\ -15 & 6 & -5 \\ 5 & -2 & 2\end{array}\right]$

Solution:

 

Leave a comment