Find the angle between each of the following pairs of lines:

Question:

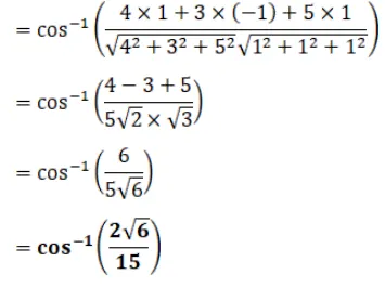
Find the angle between each of the following pairs of lines: 

$\frac{\mathrm{x}-4}{4}=\frac{\mathrm{y}+1}{4}=\frac{\mathrm{z}-6}{5}$ and $\frac{\mathrm{x}-5}{1}=\frac{2 \mathrm{y}+5}{-2}=\frac{\mathrm{z}-3}{1}$

Solution:

Leave a comment