Question:
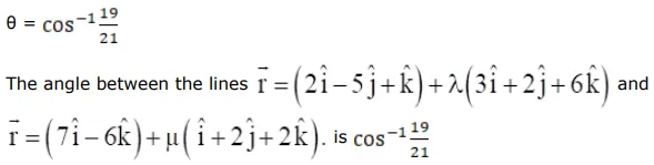
Find the angle between the lines $\overrightarrow{\mathrm{r}}=(2 \hat{\mathrm{i}}-5 \hat{\mathrm{j}}+\hat{\mathrm{k}})+\lambda(3 \hat{\mathrm{i}}+2 \hat{\mathrm{j}}+6 \hat{\mathrm{k}})$ and $\overrightarrow{\mathrm{r}}=(7 \hat{\mathrm{i}}-6 \hat{\mathrm{k}})+\mu(\hat{\mathrm{i}}+2 \hat{\mathrm{j}}+2 \hat{\mathrm{k}})$.
Solution:

