Find the angle between the lines

Question:

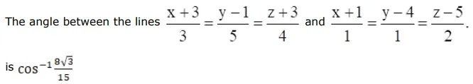
Find the angle between the lines $\frac{x+3}{3}=\frac{y-1}{5}=\frac{z+3}{4}$ and $\frac{x+1}{1}=\frac{y-4}{1}=\frac{z-5}{2}$.

Solution:

Leave a comment