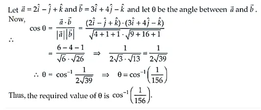
Find the angle between the vectors

Question:

Find the angle between the vectors

$2 \hat{i}-\hat{j}+\hat{k}$ and $3 \hat{i}+4 \hat{j}-\hat{k}$

Solution:

Leave a comment