Find the angle between two vectors

Question:

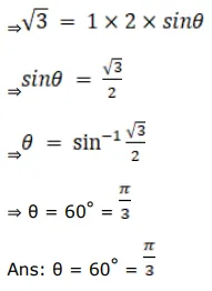
Find the angle between two vectors $\vec{a}$ and $\vec{b}$ with magnitudes 1 and 2 respectively, when $|\vec{a} \times \vec{b}|=\sqrt{3}$.

Solution:

Leave a comment