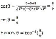
Question:
Find the angles made by the following vectors with the coordinate axes:
(i) $(\hat{\mathrm{i}}-\hat{\mathrm{j}}+\hat{\mathrm{k}})$
(ii) $(\hat{\mathrm{j}}-\hat{\mathrm{k}})$
(iii) $(\hat{i}-4 \hat{j}+8 \hat{k})$
Solution:




