Find the area under the curve

Question:

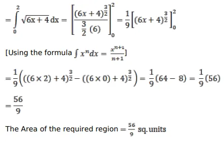
Find the area under the curve $y=\sqrt{6 x+4}$ (above the $x$-axis) from $x=0$ to $x=2$

Solution:

Leave a comment