Find the Cartesian equation of a line which passes through the point
Download now India's Best Exam Prepration App
Class 8-9-10, JEE & NEET
Video Lectures
Live Sessions
Study Material
Tests
Previous Year Paper
Revision
Question:
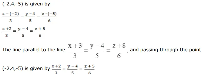
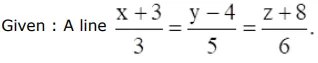
Find the Cartesian equation of a line which passes through the point $(-2,4,-5)$ and which is parallel to the line $\frac{x+3}{3}=\frac{y-4}{5}=\frac{z+8}{6}$.