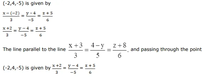
Find the Cartesian equations of the line which passes through the point

Question:

Find the Cartesian equations of the line which passes through the point $(-2,4,-5)$ and which is

parallel to the line $\frac{x+3}{3}=\frac{4-y}{5}=\frac{z+8}{6}$.

Solution:

Leave a comment