Find the coordinates of the foot of the perpendicular drawn from the origin to the plane

Question:

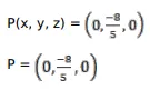
Find the coordinates of the foot of the perpendicular drawn from the origin to the plane

(i) $2 x+3 y+4 z-12=0$

(ii) $5 y+8=0$

Solution:

Leave a comment