Find the dimensions of the rectangle of area

Question:

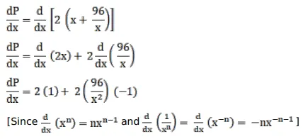
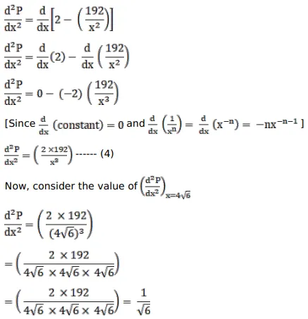
Find the dimensions of the rectangle of area $96 \mathrm{~cm}^{2}$ whose perimeter is the least. Also, find the perimeter of the rectangle.

Solution:

Leave a comment